I'm sure everyone is familiar with SF, CF, or CU, but honestly, it took me years to understand what they actually meant. Now that I think about it though, that may have been a byproduct of me being in the second cohort to participate in the ATAR curriculum (2021, 😔 I know I'm turning into an unc). Regardless, if you're not sure what they mean, I'll be answering that exact question. Either way, this blog will help you to understand how we, at activATAR, map this nomenclature to a friendly, "easy", "medium", and "hard".
SF = Simple Familiar CF = Complex Familiar CU = Complex Unfamiliar
These codes aren’t random - they describe the type and complexity of thinking each question requires. Understanding them helps you predict difficulty and study smarter. They come from the QCAA cognitive taxonomy.
What it means: SF questions are one-step problems. They rely on direct recall or a straightforward calculation using fundamental knowledge you (should have) already practised many times in class. Usually a one mark question where no working is required.
Examples:
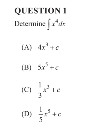
Look at this example from QCAA Methods 2024 Paper 1 TF.

See how no working is really required here? It's a one line, no brainer!
Think of SF as: ➡️ “Can you remember or use a basic skill correctly?”
What it means: CF is basically the same as SF, but requires multiple steps. That's it. Just SF with more steps.
Examples:
See this example from QCAA Methods 2024 Paper 1 TF.

Now look at this sample from the marking scheme. Lots of steps - but no particular step requires that higher order thinking.

Think of CF as: ➡️ “Can you complete multiple SF steps in sequence?"
Always check the number of marks - this gives a rough estimate on the difficulty. This isn't always true tho...
What it means: CU questions are the ultimate test — they combine multiple syllabus topics and often introduce unseen scenarios. You’re expected to apply your knowledge creatively to solve something you’ve never been shown before.
Examples:
Now look at this from QCAA Methods 2023 Paper 1 TF.

See this marking scheme? Students are expected to make the link between the motion of the Ferris Wheel, and sinusoidal behaviour (linking real life to maths!) - this is what makes it "complex unfamiliar"

How to tackle:
Think of CU as: ➡️ “Can you use what you know to solve something new?”
At activATAR, we strive to provide you high quality questions that are also syllabus-aligned. That means adhering to the standards provided to us by the QCAA (and other curriculums in future too!). However, not all questions fit within SF, CF, or CU. These are primarily reserved for maths! So, we've adopted a very friendly, self-explanatory difficulty system.
| Difficulty | Cognitive Level |
|---|---|
| Easy | SF |
| Medium | CF |
| Hard | CU |
When you see Easy, Medium, or Hard, treat them loosely by the same definitions of SF, CF, and CU. Obviously this varies between questions and their contexts, so we've provided a handy report function if you think the question doesn't quite fit the difficulty we've labelled it as.

Practise makes prorgress.
Master all three, and you’re not just ready for the exam — you’re ready to dominate it. Select a particular difficulty or multiple ones to get the most practice in! The ratio of SF:CF:CU in exams is usually 60:20:20.
With our in-house analytics features, you can track your daily progress and identify strengths and weaknesses to maximise your ATAR! Get started with your daily streak now!